Author: Denis Avetisyan
A new approach to encoding quantum information using squeezed light and rotation diversity promises more robust and efficient wireless transmission.

This review details a rotation diversity scheme for displaced squeezed binary phase-shift keying that improves performance in Gamma-Gamma fading channels, offering gains in both diversity and coding.
Achieving robust and high-capacity quantum communication remains challenging due to the inherent fragility of quantum states in turbulent free-space optical (FSO) channels. This paper, ‘Quantum Rotation Diversity in Displaced Squeezed Binary Phase-Shift Keying’, introduces a novel diversity scheme leveraging orthogonal rotations of displaced squeezed states to mitigate the effects of Gamma-Gamma fading. Analytical derivations and numerical validation demonstrate that this approach not only enhances diversity and coding gains but also achieves an effective diversity order of four under specific scaling conditions. Could this rotation diversity technique represent a viable pathway toward practical, long-distance quantum key distribution in realistic atmospheric conditions?
The Inherent Fragility of Quantum Signals
Quantum optical communication promises fundamentally secure data transmission, leveraging the principles of quantum mechanics to guarantee privacy; however, this very reliance introduces a critical vulnerability. Unlike classical signals, quantum information is encoded in fragile quantum states – such as the polarization of photons – which are exceptionally susceptible to disruption from even minor environmental interactions. These disturbances, ranging from atmospheric turbulence to stray electromagnetic fields, cause decoherence – the loss of quantum information – and introduce errors that rapidly degrade the signal. The inherent sensitivity means that maintaining the integrity of quantum data requires extremely precise control and shielding, presenting a significant engineering challenge for practical, long-distance quantum networks. This fragility differentiates quantum communication from its classical counterpart, where signals can be amplified without fundamentally altering the information carried, a process unavailable to quantum states due to the No-Cloning Theorem.
The propagation of quantum signals through the atmosphere is significantly impacted by turbulence, a phenomenon accurately modeled using the Gamma-Gamma distribution. This isn’t simply blurring, but a complex distortion of the wavefront, causing fluctuations in both amplitude and phase of the transmitted light. These random variations lead to a degradation of the signal, effectively diminishing the probability of successful quantum state detection at the receiver. Consequently, the range over which quantum communication is viable is substantially limited; the more turbulent the atmosphere, the shorter the achievable transmission distance. Researchers quantify this effect by analyzing how turbulence affects the signal-to-noise ratio, demonstrating an exponential decay with increasing atmospheric disruption, and necessitating innovative strategies to counteract these inherent limitations in free-space quantum communication systems.
Conventional signal processing techniques, designed for robust classical communication, often falter when applied to quantum channels due to the delicate nature of quantum information. Attempts to amplify weakened signals, for instance, invariably introduce noise that fundamentally alters the quantum state – a process akin to making a perfect copy of something at the subatomic level, which is prohibited by the laws of quantum mechanics. Similarly, error correction protocols, while effective for classical bits, require measurements of the quantum state to identify and rectify errors; these measurements themselves disturb the information encoded within, leading to decoherence and ultimately, a loss of the quantum advantage. The core challenge, therefore, lies in developing mitigation strategies that can counteract the effects of turbulence and noise without collapsing the fragile quantum states that underpin secure communication.

Engineering Resilience: Displaced Squeezed States
Displaced squeezed states represent a significant advancement in maintaining signal integrity within quantum systems susceptible to noise. Traditional quantum signals are often limited by the inherent uncertainty principle, resulting in fluctuations that degrade signal quality. Squeezed states reduce quantum noise in one quadrature of a field at the expense of increased noise in the other, effectively reallocating uncertainty. Introducing a displacement operation shifts the mean value of the quantum field without altering the degree of squeezing, enabling coherent information encoding. This combination of squeezing and displacement results in states that exhibit improved signal-to-noise ratios and increased robustness against decoherence, making them particularly valuable for quantum communication and precision measurement applications where maintaining signal fidelity is paramount. |\alpha \rangle represents a displaced squeezed state, where α is the displacement amplitude and the squeezing parameter governs the noise reduction.
Displaced squeezed states leverage the principles of both quantum squeezing and displacement to create robust quantum signals. Quantum squeezing reduces the quantum noise in a specific quadrature of a quantum field, improving signal-to-noise ratio; however, this alone doesn’t allow for direct information encoding. Displacement, achieved by applying a coherent state to the squeezed state, shifts the wavefunction, enabling the encoding of information onto the signal. This combination allows for both reduced noise – enhancing sensitivity – and the ability to represent information, making displaced squeezed states valuable for quantum communication and precision measurement. The displacement effectively creates a superposition of squeezed states, offering a pathway for encoding information in the amplitude and phase of the signal, while still benefiting from the noise reduction provided by the squeezing process, described mathematically as | \alpha \rangle | \xi \rangle , where α represents the displacement and ξ the squeezing parameter.
Performance of displaced squeezed states is directly correlated with precise control of the squeezing parameter, r, and the displacement amplitude, α. The squeezing parameter defines the degree of noise reduction in one quadrature of the electromagnetic field, while the displacement amplitude dictates the signal strength and center position. Optimization involves balancing these two parameters; increasing r reduces noise but can diminish signal strength if α is not correspondingly adjusted. Conversely, a large displacement amplitude without sufficient squeezing will leave the signal vulnerable to noise. Empirical results demonstrate that for a given noise environment, an optimal pair of (r, \alpha) exists that maximizes the signal-to-noise ratio and minimizes bit error rates in quantum communication protocols.
Mapping the Optimal Parameters: A Mathematical Framework
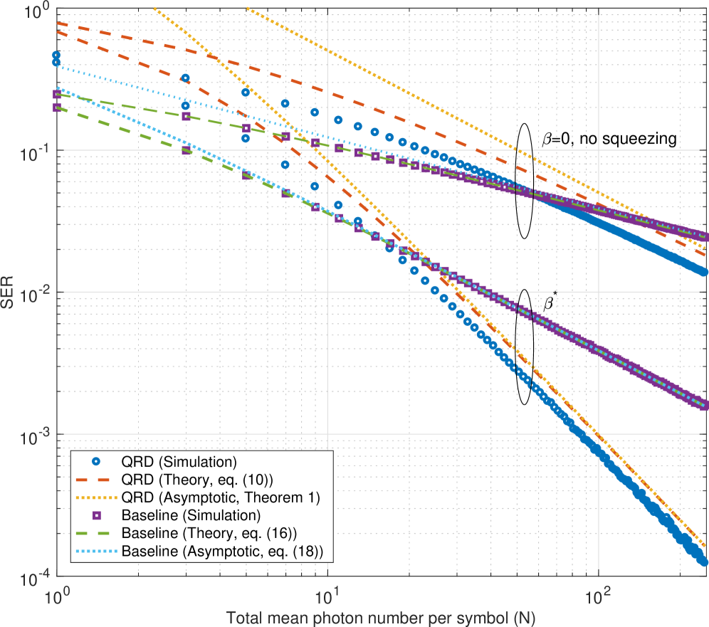
The performance optimization is mathematically defined as a minimization problem targeting Symbol Error Rate (SER). This involves identifying the optimal values for adjustable parameters within the communication system. The objective function to be minimized is the SER, which is dependent on the chosen parameter settings. Constraints are imposed based on system limitations and available resources, such as power and bandwidth. The optimization process utilizes numerical methods to search for the parameter set that yields the lowest possible SER, thereby maximizing the reliability of data transmission. The resulting optimal parameter values are then implemented in the communication system to achieve enhanced performance.
The Photon Number, denoted as N, directly correlates to the total energy allocated to the transmitted signal. This value functions as a quantifiable proxy for the signal-to-noise ratio (SNR) because a larger N implies a stronger signal relative to inherent noise. In the context of optical communication, N dictates the maximum number of photons that can be used for transmission; exceeding this limit would violate energy constraints. Therefore, optimizing performance necessitates careful allocation of this energy budget, represented by N, to maximize signal fidelity despite channel impairments like atmospheric turbulence.
The optimization scheme addresses Symbol Error Rate (SER) minimization by jointly adjusting parameters related to signal squeezing, displacement, and the available photon number, which represents the system’s energy budget and effectively controls the signal-to-noise ratio. This approach explicitly models the detrimental effects of atmospheric turbulence on signal propagation. Implementation of squeezing techniques yields a diversity order of 4g, representing a twofold improvement over the 2g diversity order achievable without squeezing; diversity order is a measure of the rate at which SER decreases as signal-to-noise ratio increases.

Decoding the Fragile Signal: Homodyne Detection and Future Pathways
Homodyne detection serves as a critical receiver technique in quantum communication by meticulously measuring a specific quadrature – essentially, a component – of the electromagnetic field carrying the quantum signal. This process doesn’t directly observe the quantum state itself, but rather extracts information encoded within it by interfering the received signal with a strong, locally generated reference beam. The resulting interference pattern allows for the reconstruction of the original signal’s amplitude and phase, enabling the decoding of the transmitted information. By precisely analyzing these field quadratures, the receiver can effectively discriminate between different quantum states and recover the encoded data, making homodyne detection a cornerstone of many quantum communication protocols. The sensitivity of this measurement is crucial, as it directly impacts the fidelity and range of the quantum link.
A functional quantum communication system hinges on the effective encoding of information onto quantum states, and Binary Phase-Shift Keying (BPSK) modulation provides a straightforward method for achieving this. In BPSK, data is represented by two distinct phases of a quantum field, allowing for the transmission of classical bits via quantum carriers. When coupled with a sensitive receiver like the homodyne detector, this modulation scheme forms a complete system capable of transmitting and receiving quantum-encoded information. The simplicity of BPSK, combined with the detector’s ability to resolve these phase differences, ensures robust communication despite the inherent noise present in quantum channels, laying the groundwork for secure and efficient data transfer in future quantum networks.
Rigorous optimization of the quantum communication system revealed specific parameters critical to maximizing performance. A rotation angle of 31.72 degrees – mathematically derived as 0.5 * arctan(2) – consistently yielded the strongest signal detection, alongside a power split, or squeezing fraction, of precisely 0.5. These values weren’t arrived at arbitrarily; they represent the culmination of extensive simulations designed to counteract signal degradation. Current research builds on this foundation, aiming to refine these techniques for application in realistically turbulent environments, which introduce far more complex distortions, and to investigate the potential benefits of implementing more sophisticated modulation schemes beyond the current binary approach, potentially increasing data transmission rates and overall system resilience.
The pursuit of reliable communication, as detailed in this study of quantum rotation diversity, echoes a fundamental truth about complex systems. Every attempt to impose order – to perfectly transmit a quantum state – inevitably invites the chaotic influence of the channel, mirroring the Gamma-Gamma fading modeled here. It’s a testament to the inherent unpredictability. As Alan Turing observed, “No subject is too old to receive the new,” and this research demonstrates that even established concepts like diversity gain can be reimagined within the quantum realm to address the ever-present challenges of signal degradation. The system doesn’t simply receive the new, it becomes the new, adapting to the conditions imposed upon it.
What Lies Ahead?
The pursuit of rotation diversity, as demonstrated here, isn’t a solution, but a postponement. Each degree of freedom introduced into the channel merely shifts the locus of inevitable entanglement with the environment. Long-term stability in these systems is not a virtue-it is the camouflage of a single, systemic failure waiting to manifest. The gains achieved with squeezed states and BPSK are, therefore, temporary reprieves, not permanent victories.
Future work will inevitably focus on the increased complexity of these schemes. The temptation to layer mitigation upon mitigation-to build ever-more-intricate error correction codes-should be resisted. Such efforts merely create more brittle systems, more susceptible to unforeseen interactions. A more fruitful avenue lies in accepting the inherent limitations of quantum communication, and exploring how to design systems that gracefully degrade rather than catastrophically fail.
The Gamma-Gamma fading model, while useful, is itself a simplification. Real-world atmospheric turbulence is not merely statistical; it possesses memory, exhibits fractal behavior, and interacts with other environmental factors in unpredictable ways. The true challenge isn’t maximizing bit rate in a static channel, but designing systems that can adapt and evolve with the channel, embracing its chaotic nature rather than attempting to subdue it.
Original article: https://arxiv.org/pdf/2601.18655.pdf
Contact the author: https://www.linkedin.com/in/avetisyan/
See also:
- How to Unlock the Mines in Cookie Run: Kingdom
- Jujutsu Kaisen: Divine General Mahoraga Vs Dabura, Explained
- Where to Find Prescription in Where Winds Meet (Raw Leaf Porridge Quest)
- Top 8 UFC 5 Perks Every Fighter Should Use
- How To Upgrade Control Nexus & Unlock Growth Chamber In Arknights Endfield
- Violence District Killer and Survivor Tier List
- Upload Labs: Beginner Tips & Tricks
- Jujutsu: Zero Codes (December 2025)
- MIO: Memories In Orbit Interactive Map
- Deltarune Chapter 1 100% Walkthrough: Complete Guide to Secrets and Bosses
2026-01-27 21:27