Author: Denis Avetisyan
Researchers have developed a new protocol for privately and remotely determining a quantum property, even when signals are weakened by transmission losses.

This work presents the first single-user continuous-variable private remote quantum sensing protocol resilient to passive photon-splitting attacks in bosonic loss channels, with performance analysis for both finite and asymptotic regimes.
Estimating a parameter remotely while guaranteeing privacy against eavesdropping presents a fundamental challenge in quantum sensing. This is addressed in ‘Private Remote Phase Estimation over a Lossy Quantum Channel’, where we introduce the first single-user protocol leveraging continuous-variable states for this task. Our analysis, conducted under realistic lossy channel conditions and passive attacks, yields analytical bounds on both estimation error and privacy in both finite- and asymptotic regimes. By demonstrating significantly tighter performance limits with a validated channel model, can this approach pave the way for practical, secure quantum sensing networks?
Decoding the Quantum State: Limits of Classical Measurement
Precise state estimation is fundamental to quantum science, impacting communication, sensing, and computation. Traditional methods struggle due to inherent noise and imperfections, hindering the accurate determination of a system’s state. These limitations arise from the exponential scaling required to characterize complex quantum states using classical tools. Consequently, current approaches struggle to efficiently capture complete quantum information.

Improving precision requires innovative approaches leveraging uniquely quantum properties. Exploring novel measurement strategies, utilizing entanglement, and developing tailored algorithms are crucial to overcoming current limitations and revealing the underlying order within quantum complexity.
Illuminating the Signal: Harnessing Quantum Information with Heterodyne Detection
Heterodyne measurement powerfully characterizes both amplitude and phase of quantum signals. This technique mixes the unknown signal with a local oscillator, down-converting it for efficient amplification and digitization. Researchers employ Sign-Aligned Variables—constructed from measurement outcomes—to enhance signal detection by extracting and utilizing sign information.
Aligning these variables improves sensitivity and precision by minimizing noise and maximizing the signal-to-noise ratio. This ensures constructive interference, leading to a clearer, more defined signal.
Beyond Averages: Characterizing Distributions with Cumulants
Characterizing the full probability distribution of quantum measurements is crucial for optimal state estimation. Traditional methods relying on first and second moments often prove insufficient. A comprehensive understanding requires higher-order statistical moments, revealing nuances of the underlying quantum state.
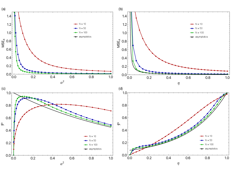
Cumulants provide a concise and effective way to characterize distribution shape beyond simple averages. Unlike moments, cumulants offer a non-singular alternative, simplifying calculations and revealing asymmetry and kurtosis, especially valuable for non-Gaussian states. The Edgeworth Expansion, leveraging cumulants, yields an asymptotic Mean Squared Error (MSE) of $1/(2N) + 3σ²/N$, demonstrating improved precision with increased sampling and reduced noise.
From Precision to Application: Quantum Technologies for Sensing and Secure Communication
Precise quantum state estimation, enabled by advanced measurement and analytical techniques, forms the cornerstone of Quantum Sensing, allowing for detection sensitivities exceeding classical limits. This extends beyond fundamental research, opening doors to high-resolution materials science, non-invasive medical imaging, and precise environmental monitoring.
Advancements in quantum sensing directly support Quantum Cryptography, offering unprecedented secure communication. Recent work presents a single-user continuous-variable private remote quantum sensing (PRQS) protocol with derived expressions for finite-size and asymptotic regimes. This protocol demonstrates a quantifiable trade-off between estimation error ($MSE$) and privacy ($𝒫$), with privacy dependent on channel parameters and mean-photon number—a future where information gathering and security coexist seamlessly.
The pursuit of secure quantum sensing, as detailed in this work, necessitates a deep understanding of channel imperfections and adversarial strategies. This research establishes a framework for private remote quantum sensing under realistic loss conditions, acknowledging the inherent vulnerability of quantum states to photon splitting. It echoes Paul Dirac’s sentiment: “I have not the slightest idea of what I’m doing.” While seemingly paradoxical from a figure renowned for his contributions to quantum mechanics, the quote highlights the exploratory nature of scientific inquiry. Just as Dirac navigated the uncharted waters of quantum theory, this study embraces the challenges of lossy channels, iteratively refining protocols to achieve optimal estimation privacy – a continuous cycle of observation, hypothesis, and analysis. The analytical results presented offer a crucial step in realizing practical, secure quantum sensing technologies.
What Lies Ahead?
The demonstration of private remote quantum sensing under realistic loss conditions—specifically, the photon-splitting attacks modeled here—reveals a familiar pattern. A protocol functions, performance is quantified, and yet the boundaries of that performance remain stubbornly opaque. The analytical results, while providing a crucial baseline, implicitly acknowledge the limitations of the chosen bosonic channel model. Real-world loss isn’t merely photon splitting; it’s a complex interplay of scattering, absorption, and detector inefficiency – a far cry from the elegant simplicity required for tractability. The question isn’t whether the protocol can work, but rather, how far from ideal conditions can it operate before the noise overwhelms the signal, and the “privacy” becomes a statistical illusion?
Future work will undoubtedly explore alternative channel models, potentially incorporating more nuanced descriptions of loss and noise. However, a more fundamental challenge lies in extending these single-user protocols to multi-sensor scenarios. The complexity of maintaining privacy and maximizing sensing precision scales rapidly with the number of users, potentially requiring radically new approaches to key distribution and signal processing.
Perhaps the most intriguing avenue for investigation involves the interplay between sensing and communication. This work establishes a foundation for private sensing; however, the question of how much information can be reliably extracted—and at what cost to privacy—remains largely unexplored. The ultimate limit, dictated by fundamental quantum constraints, is still a shadowy frontier, beckoning further investigation.
Original article: https://arxiv.org/pdf/2511.09123.pdf
Contact the author: https://www.linkedin.com/in/avetisyan/
See also:
- Robinhood’s $75M OpenAI Bet: Retail Access or Legal Minefield?
- All Skyblazer Armor Locations in Crimson Desert
- All Hauntingham’s Letters & Hidden Page in New Super Lucky’s Tale
- How to Complete Funny Blocks Game in Infinity Nikki
- Speedsters Sandbox Roblox Codes
- Lonely Player Anomaly Commission Guide In NTE (Wandering Puppet Locations)
- How to Catch All Itzaland Bugs in Infinity Nikki
- How to Get the Sunset Reed Armor Set and Hollow Visage Sword in Crimson Desert
- Black Sun Shield Location In Crimson Desert (Buried Treasure Quest)
- Madden NFL 26 Cover Star Revealed
2025-11-13 13:24